The
requirements for this power supply differs greatly from the supply for
the pulsed thruster in that it is necessary to closely regulate the
power delivered to the arc. I
chose an operating power of
approximately 12 kW based on the available wall power available - in
this case a single phase of 240 VAC at 50 A, only moderately larger
than the 240 VAC 30 A usually available for clothes dryers and other
appliances in many US households. Based on previous experience, I
anticipated an arc voltage somewhere in the range of 30-60V, which
would require an arc current of 400-200 A, respectively.
Background
In
this case I designed the power supply around a switching converter for
small size and high efficiency. Specifically, I chose the full bridge
soft switching topology due to its ability to handle high power levels
with maximum efficiency. This topology is a derivative of the buck
converter topology, shown below.

Fig.
1: Buck Converter
The switch is controlled using pulse width modulation (PWM) in order to
generate a square waveform with an average value equal to the desired
output voltage. The inductor and capacitor form a filter which removes
most of the switching component, resulting in a nearly constant output
voltage equal to the source voltage VS multiplied by the
duty ratio D. The output current is then equal to the output voltage
divided by the load resistance. This application is different in that
the load is no longer a constant resistance, but a highly non-linear
arc. The characteristics of the arc make the output capacitor
unnecessary.
Fig. 2: Buck
Converter Supplying an Arc
Due to the ability of the arc to conduct very large currents with
little change in voltage, the capacitor will not provide any useful
filtering as it would with a resistive load. Instead, the capacitor
will maintain the voltage of the arc and neither accept nor supply any
current.
Fig. 3: Buck
Converter for Supplying an Arc Load
As a result, the capacitor can be removed entirely. In this
configuration, the arc current is maintained within some limits by the
inductance, and the load voltage is determined by the arc's V-I curve.
At higher currents, the arc's voltage tends to remain relatively
constant over a wide range of currents, resulting in a relatively
constant load voltage. The duty cycle for the modified circuit in Fig.
3 is the same as for the traditional buck converter shown in Fig. 1.
Eq. 1: Duty Cycle
Relationship for Modified Buck Topology
The full bridge topology is very similar in operation, but uses a
transformer in order to allow a much wider range of output voltages and
to provide isolation between the source and load. The additional
switches and diodes are included in order to allow the transformer to
operate correctly. Fig. 4 shows one possible configuration of the full
bridge topology for the purpose of clarity.
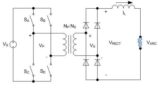
Fig. 4: Full
Bridge Converter Topology
The transformer requires a bidirectional voltage in order to avoid
saturation of the magnetic core, which is generated by the switches SA
- SD,
operated in pairs. First switches SA and SD are turned
on, applying a positive voltage to the transformer. These switches are
turned off and after a delay switches SB and SC
are turned on, applying a negative voltage to the transformer. This AC
square wave is then rectified by the four diodes on the transformer's
secondary, generating a positive square wave which is identical to that
generated by the buck converter shown in Fig. 3.
Additional info - read more about
the phase shifted full bridge converter here. [1]
In practice the full
wave rectifier shown in Fig. 4 is usually substituted with a circuit
consisting of fewer diodes in order to reduce losses; however, the
concept is similar. Additionally, the switching pattern for the two
pairs of switches can be modified to allow lossless switching, but
again, the concept is similar. The relationship between the source and
arc voltage is similar to that shown in Eq. 1, with the addition of a
term to account for the effect of the turns ratio of the transformer.
Eq. 2: Duty Cycle
Relationship for Full
Bridge Topology
The voltages and currents generated by the full bridge converter are
shown below.
Fig. 5: Full
Bridge Waveforms (Fig. 4 circuit)
Note that these waveforms apply specifically to the circuit shown in
Fig. 4, and are shown as an introduction to the concepts that are
applied to other circuit configurations.
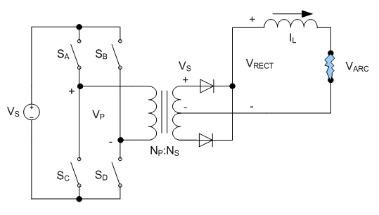
The full bridge rectifier is not frequently used, due to the number of
diodes and the losses associated with them. A more popular
rectification method is to employ a center-tapped secondary and full
wave rectification. This halves the number of diodes needed at the
expense of a slightly larger and more difficult to manufacture
transformer secondary, but otherwise operates identically to the
circuit in fig. 4.
Fig. 6:
Center-Tapped Secondary with Full Wave Rectification
Another arrangement exists which does not require a center-tapped
secondary winding at the expense of an additional filter inductor and
complexity. This is known as the current doubler rectifier.

Fig. 7: Current Doubler Rectifier
The operation and advantages of this circuit are not necessarily
apparent at first glance; however, this allows reduced currents in the
transformer's secondary in addition to eliminating the center tap. The
addition of a second inductor can also be helpful, especially in high
current applications where the thermal load is spread across several
components. Furthermore, the current ripples in the two inductors are
out of phase and partially cancel each other out, and therefore reduce
the magnitude and increase the frequency of the ripple allowing for
smaller inductors in many instances.
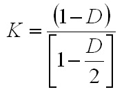
The elimination of the center tap in the secondary transformer winding
requires a modification to the duty cycle calculation.
Eq. 3: Duty Cycle Calculation for Full Bridge with
Current Doubler Rectifier
Additional Info - read more about
the current doubler rectifier here. [2]
Magnetics Design
The design process was performed iteratively in a Microsoft Excel
spreadsheet in order to optimize the design quickly; however, the
process described here will use only the final design values for
clarity. The spreadsheet developed for this design is available at the
bottom of this page, along with additional design files.
The first step in performing the design is to determine the major
operating parameters, i.e. the input and output conditions. The input
will be taken from a rectified single phase 240 VAC, which will have a
DC value of .
A maximum operating power of 4 kW
per converter with three converters operating in parallel was chosen,
which requires 11.7 A from the DC bus per converter. The output voltage
is estimated to be between about 30 - 60 V, which requires 133 - 66.7 A
per converter respectively.
Since the current doubler rectifier uses two inductors which share the
output current evenly, the maximum average DC current through each
inductor will be 66.7A.
The next step is to choose a turns ratio for the transformer which
allows the maximum output voltage of 60 V to occur at a high duty
cycle. This should coincide with a duty ratio of around 0.8 to
0.9 in order to allow some headroom to allow for responding to
transients. In a full bridge converter with a full wave rectifier a
turns ratio of 5:1 would yield a duty cycle of 0.882, but since the
current doubler rectifier only carries half of the load current at the
transformer secondary the transformers secondary must have twice the
voltage, requiring a turns ratio of 5:2, which can be calculated from
Eq. 3.
The worst case for the transformer core flux density occurs at peak
VOUT, in this case corresponding to an arc voltage of 60 V
and a D of
0.882. The core flux is computed as the applied volt-seconds divided by
the number of primary turns, and the flux density is computed as the
core flux divided by the core cross sectional area. Therefore, the core
flux density is calculated as

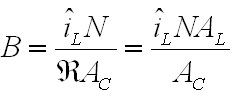
Eq. 4: Flux Density in the Transformer Core
Where B is the peak flux density in the core
VIN is the
input voltage to the converter in Volts
fs is the
switching frequency in Hertz
NP is the
number of primary turns on the transformer
AC is the
transformer core cross sectional area in square meters
With an input voltage of 340 V, duty cycle of 0.883, switching
frequency of 60 kHz, 30 primary turns, and a core cross section of 626
mm2 the core flux density will be 0.133 T (divide the result
of Eq. X by 106 to correct for the core cross section being
given in mm2.) There is plenty of margin, since the material
saturation flux density for my core is closer to 0.35 T.
Next, the worst case for the inductor core flux density occurs at the
lowest arc voltage because this corresponds to the highest
instantaneous inductor current. The average inductor current and the
current ripple must be known first. The average inductor current is
calculated by dividing the output power by the arc voltage and dividing
that result by two, since the arc current is split evenly between the
two inductors.
Eq. 5: Average
Inductor Current
Where IL_AVG is the average inductor current in each of the
two inductors in Amps
PIN is the
maximum input power in Watts
VARC is the arc
voltage in volts
is the converter's
efficiency
With an input power of 4,000 W, an efficiency of 100%, and an arc
voltage of 30 V the average inductor current will be 66.7 A. Next, the
inductor ripple must be calculated. The ripple on each inductor is
equal to the Volt-seconds applied to it divided by the inductance.
Since this design uses a current doubler rectifier, positive pulses
from the transformer will be applied to one inductor and negative
pulses to the other. The means that each inductor has the transformer
output voltage applied to it for a duration of D times the full
switching cycle time on alternate cycles. The current ripple will
therefore be

Eq. 6: Peak to Peak Inductor Ripple Current
Where L is the inductance of the filter inductor in Henries.
With an input voltage of 340 V, 12 secondary turns, D equal to 0.441
(for VARC of 30 V), 30 primary turns, 60 kHz switching
frequency, and 30.4 uH inductance the peak to peak ripple current will
be 32.9 A. Therefore, the peak inductor current will be equal to the
average current plus half of the ripple current, equal to 83.2 A. Based
on this result, the peak inductor core flux can be calculated as
Eq. 7: Inductor
Peak Flux Density
Where is the peak
inductor current in
Amps
N is the
number of turns on the inductor
is the
reluctance of the core
AC
is the cross sectional area of the core in m2
AL
is the core factor in H/sqrt(t)
With a peak inductor current of 83.2 A, 13 turns on the inductor, an AL
of 180x10-9, and a cross section of 540 mm2 the
peak inductor flux density is 0.36 T (multiply results from Eq. X by 106
to correct for AC being given in mm2.) Note that and AL
are inverses of each
other, and the peak core flux density can be calculated with either
value, whichever is handy. AL
is frequently
given in ferrite core data
sheets, while is typically calculated based on
geometries.
At this point it is easy
to calculate the ripple current seen by the
arc, which is different than the ripple of the individual inductors.
Since the current ripple of the two inductors is out of phase, they
partially cancel. The cancellation factor is given by

Eq. 8: Current Ripple Cancellation Factor
D is equal to 0.441 at
the minimum arc voltage, yielding a cancellation
factor of 0.717. To obtain the arc current ripple, multiply the
individual inductor ripple magnitude (32.9 A) by the cancellation
factor. This results in an arc current ripple of 23.6 A out of a total
current of 133 A, or about 17.7%.
Additional
Info - Read more about current cancellation in the current doubler
rectifier here.
[3]
Next, losses in the
transformer and inductors will be considered,
starting with the inductor. The magnetic core losses are the most
straightforward, so those will be calculated first.
The losses in the
inductor core are a function of the magnitude and frequency of
the flux density ripple. Eq. 7 can be used to calculate the flux
density ripple in the same way it was used to calculate the peak flux
density. With an inductor current ripple of 32.9 A and parameters as
described before, the flux density ripple magnitude is calculate to be
0.142 T. For archaic reasons most magnetic material datasheets use the
flux density ripple divided by two, so 71 mT is the actual value to
use to calculate the core loss. Also, since the inductors in a current
doubler rectifier receive alternate pulses, the frequency is half of
the switching frequency, 30 kHz is used to calculate the loss instead
of 60 kHz. The last number required for the core loss calculation is
the core volume, which is 1.08
x 10-4 m3. The core material is
Ferroxcube 3F3. The datasheet for that material can be found here.
The curve for 25 kHz is closest to the actual inductor frequency of 30
kHz, so we find where that curve intersects the vertical line for 70 mT
and then read off the position on the vertical axis. In this case, the
value is off the bottom edge of the chart, so I chose to use 10 kW/m3,
which is close to the actual value if the manufacturer's curves were
extended.
Multiplying this value by the volume of the core gives a core magnetic
loss of 1.08 W.
The inductor copper
losses are calculated next. In this case, the
inductor is constructed of 13 turns of 5 mil thick copper foil 38 mm
wide. A E65/32/27 core is used (datasheet here) with a
CP-E65-1S-T bobbin (described in the
same document.) The average length of a turn on this bobbin is 150 mm,
which allows the total length of the copper foil need to be calculated
by multiplying the average turn length by the number of turns,
resulting in a strip with a length of 1.95 m. The DC resistance of this
conductor can be calculated by using the equation

Eq. 9: Resistance of a Conductor
Where is the
resistivity of the conductor material in ( for copper)
is the length of the conductor in meters
A is the cross-sectional
area of the conductor in m2
With a resistivity
of , length
of 1.95 m, cross-sectional area of 4.83 mm2,
the DC
resistance of the strip will be 6.79 mΩ (don't forget to correct for
the units.) The effective resistance of the winding will be higher with
AC currents due to skin and proximity effects. First, the skin depth
needs to be calculated for these conditions.
Eq. 10: Skin Depth in a Conductor
where
is the skin depth,
is the
resistivity of the conductor ( for copper)
is the
permeability of free space (equal to for
most non-magnetic materials)
is the
relative permeability of the conductor (approximately 1 for most
non-ferrous conductors.)
With ω equal to 2π30 kHz, the skin depth is
0.377 mm. The AC resistance for the fundamental frequency (30 kHz) can
be determined from the Dowell plot.
Fig. 8: Dowell
Plot Showing AC Resistance Increase With Skin Depth
where h is the height of the conductor, 5 mils equal to 0.127 mm. The
ratio of the conductor height to skin depth is then 0.177 / 0.377, or
0.337. Following the curve for the nearest number of turns (10 on the
chart) at 0.4 on the horizontal axis the ratio of AC resistance to DC
resistance is roughly 1.3. This means that the resistance at 30 kHz is
1.3 times higher than the DC resistance. Since the chart is only
calibrated for sinusoidal currents, and the saw-tooth waveform in the
inductor has higher frequency harmonics which will be subjected to even
higher resistances, a rough estimate of the overall losses can be
calculated by multiplying the final result by a factor of 1.4. This
yields
a total resistance of 6.79 mΩ
times 1.3 times 1.4 equal to 8.82 mΩ. Next the RMS value for the
inductor current must be
determined. This current is a saw-tooth waveform with a DC offset.
Fig. 9: Inductor Current Waveform
The RMS value for this
waveform is given by the equation

Eq. 11: RMS Current for a Saw-Tooth Waveform
With an IAVG
of 66.7 A and ripple of 32.9 A the RMS value is 69.3 A. The copper
losses for the inductor are then calculated as IRMS2R,
equal to 59.4 W. Adding the core loss gives a total loss of 60.5
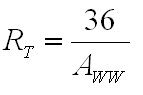
W per inductor. The temperature rise can then be roughly estimated
based on a rule of thumb which states that the thermal resistance under
natural convection is approximately

Eq. 12: Thermal Resistance of an E Core
where AWW
is the area of the winding window of the E core in
cm2. The winding window can be calculated
from the datasheet
values, equal to 493 mm2. The thermal resistance under
natural convection is then 7.3 C/W. Forced convection can reliably
reduce this resistance by a factor of 10, so 0.73 C/W can be achieved
using a fan. Multiplying the thermal resistance by the power
dissipation gives the inductor temperature rise above ambient, equal to
44.1 C. The inductor temperature with 25 C ambient would then be 69.1
C.
The transformer core and
copper losses can be treated identically to
determine the total loss and temperature rise with a few small
modifications. First, the core flux density of the transformer is not
determined by the current flowing through it, but by the applied
volt-seconds. With a 30 V arc the flux density swing will be 0.133 T;
again, using half of that value for archaic reasons, or 66 mT.
Since positive and negative voltage pulses are applied to the
transformer alternately, the actual frequency of the flux is half the
switching frequency, so use 30 kHz here too. The transformer core
material is different from the inductor, in this case TDK H7C2
material. Curves for this material do not appear to be available, but
Magnetics F material is listed as an equivalent, so the published
equations for that material were used to determine a core loss of 1.17
W.
The copper losses for the
transformer are calculated similarly, but the
current waveforms are somewhat different and the primary and secondary
windings need to be considered separately. First, consider the current
waveform of the secondary winding. During the TON
interval the
transformer secondary carries only the ramping current from the active
inductor. There is a free-wheeling interval that follows the TON
interval when there is no secondary voltage, and the load voltage
causes the current to ramp down. This sequence is then repeated at the
other inductor during the next TON interval when the transformer
secondary voltage reverses.

Fig. 10: Transformer Secondary Winding Current
To calculate the RMS
value for the secondary's current the waveform
must be considered as two separate parts, the RMS of each part must be
calculated, and then the overall RMS value for the waveform can be
computed. The two components of the secondary current are shown below,
along with the equation for calculating the RMS value of the individual
components.

Fig. 11: Secondary Current Components for Calculating RMS Value

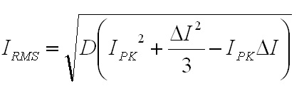
Eq. 13: RMS Value of a Trapezoidal Waveform
Since the low arc voltage
condition (30 V) is being considered, D is
0.441. For the "A" waveform IAVG and ΔI are identical to the
values used in the inductor calculations, 66.7 A and 32.9 A
respectively. From this, the peak current can be calculated to be 83.2
A.Therefore, the RMS value of the "A" waveform is 44.7 A. The
difference
between IPK+ and IPK-
is caused by the arc
voltage being applied to the inductor for the remainder of the
switching period, and can be calculated to be 9.19 A. Using
these values in Eq. 13 for the
"B" waveform yields an RMS value of 58.8 A. These two values can then
be combined in to an overall RMS value by using Eq. 14.

Eq. 14: Combining RMS Values
Accordingly, the combined
RMS values of the "A" and "B" parts of the
secondary current waveforms yield an overall RMS value of 73.7 A. Using
the same process
as for the inductor, the copper losses for the transformer secondary
winding can now be
calculated. With 12 turns of 8 mil copper foil, 62 mm foil width and
161
mm mean length of a turn the DC resistance is equal to 2.58 mΩ. The
skin depth to conductor thickness ratio is 0.54, yielding a 2.3 AC
resistance multiplier and an AC resistance of 5.93 mΩ. The I2R
loss for the secondary winding of the transformer (including a factor
of 1.4 for higher losses from harmonic content) is then 45.1 W.
The primary winding is
treated identically. First, the shape of the primary current waveform
is established. During the TON period the secondary current is reflected
back to the primary by the turns ratio, and during the remainder of the
switching period the primary current freewheels near the peak primary
current.

Fig. 12: Transformer Primary Current
This gives an IAVG
of 66.7 A times a turns ratio of 0.4, equal to 26.7 A. The reflected
current ripple is calculated to be 13.2 A, and from that the peak
current can be calculated to be 33.3 A. The primary current can then be
separated into two components in order to calculate the RMS value.

Fig. 13: Primary Current Components for Calculating RMS Value
The "A" component RMS
value can be calculated using Eq. 13 and the reflected secondary
currents just calculated. This gives a result of 17.9 A. The equation
for the "B" component is given by the equation

Eq. 15: RMS Value of a Square Wave
The RMS value of the "B"
component, with a duty cycle of 0.559 and a peak current of 33.3 A, is
24.9 A. The overall RMS value of the primary current is then 30.6 A.
The primary winding consists of 30 turns of 2 mil copper foil 62 mm
wide with a mean turn length of 161 mm. This corresponds to a DC
resistance of 25.8 mΩ and a nearly identical AC resistance, with copper
losses for the primary equal to 33.9 W. Totalling the core losses,
secondary copper losses and primary copper losses yields a total
dissipation of 80.2 W. From the core winding window area the natural
convection thermal resistance is estimated at 3.02 C/W, and 0.302 C/W
with forced convection. The estimated temperature rise for the core is
then 24.2 C.
Magnetics Construction
Both the transformer and
inductors are constructed using flat copper foil windings assembled
onto bobbins around which the core is assembled. There are several
considerations common to the construction of both parts. First, the
copper foil is cut to allow 3 mm of clearance between the copper and
the bobbin on each side. Next, each foil strip is wound along with a
strip of Kapton film which is the exact width of the bobbin winding
area. This provides both the turn to turn electrical insulation (since
the copper foil is bare) and the winding to winding isolation required
for safety. This provides a total creepage distance of 6mm between the
primary and secondary windings, which prevents surges and spikes on the
primary from propagating to the secondary. Also, both the transformer
and inductors are encased in a varnish which serves as additional
insulation, provides mechanical strength, and increases heat flow out
of the parts.
The first step is to cut
the required lengths, widths, and thickness of of copper sheeting and
Kapton film down to the proper dimensions. The copper is thin enough to
cut accurately with a good pair of scissors, so the dimensions for each
piece were measured out, marked with a straight edge and knife, and
then cut to size.
Fig. 14: Cutting Copper Sheeting to Size
Next, the leads that
connect to the copper strip on the inside of the winding are attached.
This is accomplished using bundled magnet wire soldered to the
beginning of the strip. The insulation on some magnet wire will peal
back with the heat from soldering. For other types of insulation, it
must be removed mechanically by scraping, or chemically removed. In
this case I used a chemical stripper
sold by the Eraser Company. The stripper comes as a solid, and is
melted in a solder pot to activate it. The magnet wire is then inserted
for a few seconds, and the insulation is dissolved.
Fig. 15: Insulation Removal by Chemical Stripper
Fig. 16: Attaching Transformer Lead to Copper Strip
Once the lead is attached
winding can begin. Start by taping down the Kapton strip on an outward
face of the bobbin, and then tape the starting end of the copper strip
over it.
Fig. 17: Taping Kapton Insulation and Copper Strip to Bobbin
Apply heat shrink tubing
or Teflon tubing to the lead. Any conductor which passes through the 3
mm isolation gap must have secondary insulation.
Fig. 18: Insulating Lead
After the insulation and
copper are taped down and the secondary insulation is added, wind the
appropriate number of turns onto the bobbin. For square center legs, be
sure the copper foil follows the edged by bending and pressing around
every edge to get the winding as compact as possible. For circular
center legs, be sure to wind the foil and insulation tightly.
Fig. 19: Bobbin With Wound Coil, Circular and Square
To terminate the winding,
cut the copper foil and insulation to length and tape down the ends to
prevent the coil from unwinding.
Fig. 20: Taped Winding
The second lead can now
be soldered onto the coil, and insulated with shrink tubing or Teflon
tubing.
Fig. 21:Attaching Second Lead to Winding
Next, apply several layers of insulation that extend
completely from one side of the bobbin to the other. Kapton tape or
polyester tape are both acceptable.
Fig. 22: Insulate Winding With Tape
For single coil
inductors, the winding is complete. For transformers, or multi-winding
inductors, wind each additional coil using the same procedure. Once the
winding is completed assemble the core in the bobbin and tape around
the outside of the core with polyester tape to secure the assembly.
Fig. 23: Completed Assembly
Optionally, the assembled
parts can be dipped in varnish to provide additional insulation,
mechanical strength, and improve heat transfer. I have not seen
electrical grade varnishes and resins available anywhere except
directly from the manufacturer, such as Dolph's, which
is where I purchase from. Be sure to choose a resin that is intended
for dipping, if that is your intention If you have appropriate
equipment, you may choose to perform vacuum pressure impregnation (VPI)
instead, which requires resins designed for that process. The idea is
to dip the part in the resin in a vacuum, and then apply high pressure.
This forces the resin to completely fill any voids that might have
otherwise been allowed to remain.
Fig. 24: VPI Process - Vacuum and Dipping, Applying High Pressure,
Baking, Finished Product
Measuring Magnetic
Properties
The phase shifted
switching scheme that allows lossless switching uses the parasitic
reactive components of the circuit, including those of the transformer.
Therefore, it is important to properly identify the values of these
elements in order to ensure proper operation of the lossless switching,
and also to allow accurate modeling and simulations.
The first parameter to
identify is the leakage inductance of the transformer's primary and
secondary windings. The leakage inductance is caused by flux that does
not link both coils. This leakage inductance stores energy which is not
transfered from the primary to the secondary, and often causes voltage
spikes during switching. In an ideal transformer the impedance on the
secondary is reflected back to the primary by the square of the turns
ratio, so ideally a perfectly shorted secondary winding would cause the
primary winding to see zero impedance as well.

Fig. 25: Ideal Transformer With Shorted Secondary
However, since the
leakage inductance is not linked to the secondary, it is not shorted
out, and remains in the circuit.

Fig. 26: Practical Transformer With Shorted Secondary
Therefore, the primary
leakage inductance can be measured by shorting out the secondary
winding and measuring the inductance of the primary. The reverse can
also be performed to measure the leakage inductance of the secondary
winding. Using
this method, the leakage inductance of the primary was determined to
be uH, and the leakage inductance of the secondary was determined
to be uH.
Additionally, the
magnetizing inductance of the transformer can be easily measured using
an inductance meter. Simply measure the inductance of the primary
winding with a meter, making sure the secondary is completely
disconnected. For this transformer,
the magnetizing inductance was measured to be uH. Note that this measurement includes the
leakage inductance.
Finally, the
transformer's self-resonant frequency (SRF) must be determined. This
frequency corresponds to the point where the inductance of the
transformer is canceled out by the parasitic capacitance. A simple
property of the SRF can be used to easily identify it - since the
inductance and capacitance completely cancel out, the transformer will
appear completely resistive. Using a frequency generator and an
oscilloscope, sweep the frequency across the primary of the transformer
until the voltage and current are perfectly in phase. This is the SRF.
Fig. 27: Self-Resonant Test Circuit
Fig. 28: Self-Resonant Waveform
From fig. 28 the SRF of
this transformer was measured to be X kHz. Using the primary magnetizing inductance
measured earlier, the parasitic capacitance of the transformer can be
calculated using the equation

Eq. 16: Relationship Between Inductance, Capacitance, and Self-Resonant
Frequency
Using Eq. 16 the
capacitance of the transformer is calculated to be X nF. This otherwise parasitic circuit element
will also be used to help achieve lossless switching.
Combining these
measurements with previous calculations, a fairly complete model of the
transformer can be assembled, as shown below.
Fig. 29: Transformer Model
Using identical methods
the inductance, capacitance and SRF of the inductors can also be
measured. The model for the inductors is shown below.
Fig. 30: Inductor Model
Resonant
Circuit Design
An important aspect of this design is the ability to eliminate
switching losses by using the energy stored in parasitic inductive and
capacitive elements of the circuit to create a resonant circuit which
will allow the main switches to be turned on and off with no voltage
across them, allowing lossless switching.
Synchronous
Rectification Circuit Design
So far the current doubler rectifier has been shown with diodes as the
rectifying elements; however, diodes typically have fixed voltage drops
during conduction. If the diodes are replaced with MOSFETs with
suitably low RDS_ON, the conduction voltage will be lower
than the diode's forward voltage drop and less power will be
dissipated. A synchronous rectifier does just this, by replacing the
diodes with MOSFETS and controlling them to operate identically to the
diodes they replace.
Additional Info - Read more about
synchronous rectification in the full bridge phase shifted topology here. [4]
Simulation
Simulating the circuit designs using the models developed so far will
verify that the design works as intended.
Testing
The simulations have increased confidence in the design, but there is
always the possibility of an effect that was not taken into
consideration or large parameter deviations, so testing is necessary to
prove the design.
Files
Here are all of the files
used to design, test, and construct this converter. Everything from the
high level spreadsheet, simulations files, to the board schematic and
layout files and a bill of materials.
Full-Bridge-Arc-Supply.xls
|
This Excel spreadsheet contains all of the
equations and calculations for designing and sizing the major
components in the supply. All parameters for the transformer,
inductors, switches, and other components can be modified in order to
see their impact on the overall design.
|
References
[1] Andreycak, Bill, Phase Shifted,
Zero Voltage Transition Design Considerations and the UC3875 PWM
Controller, October 2010, http://www.ti.com
[2] Balogh, Laszlo, The
Current-Doubler Rectifier: An Alternative Rectification Technique for
Push-Pull and Bridge Converters, October 2010, http://www.ti.com
[3] Mappus, Steve, Current Doubler
Rectifier Offers Ripple Current Cancellation, October 2010, http://www.ti.com
[4] Mappus, Steve, Control Driven
Synchronous Rectifiers in Phase Shifted Full Bridge Converters,
October 2010,
http://www.ti.com
[ Back to Arcjet ]
[ Back to Main ]
Questions?
Comments? Suggestions? E-Mail me at MyElectricEngine@gmail.com
Copyright 2007-2010 by Matthew Krolak - All Rights
Reserved.
Don't copy my stuff without asking first.
|
|