Ignition Coil Measurements and
Characterization
|
Any
design involving ignition coils more sophisticated than the very
simplest will require some detailed knowledge of the characteristics of
the ignition coil that will be used in the design. Detailed datasheets
with thorough characterization and key parameters are unlikely to be
available, but many of these values can be obtained with relatively
simple equipment and techniques. Some designs may require more detail
than others, so the most basic specifications are determined first, and
an increasingly detailed model is developed.
The structure of the ignition coil is very similar to that of a
standard transformer, and most of the modelling and measurement
techniques are valid for both. In both cases, the most basic parameter
is the turns ratio of the coils. There is a fairly typical
range for the turns ratio of ignition coils, generally between perhaps
50:1 to 200:1, with 100:1 probably being the most common. Measurements
that indicate a turns ratio significantly outside of this range may
indicate an error in measurement or a damaged coil. The
simplest method to measure the turns ratio is to apply an AC voltage to
one coil, and compare the magnitude of the voltage at the other coil.
The main concern with making this measurement is to be careful of the
magnitude of the applied AC signal. Applying a too large of a singal
may have several effects. First, applying too large of a volt-second
product will result in the core saturating resulting in incorrect
results. Also, If the magnetizing current resulting from a large
volt-second product becomes too large and the voltage source's
impedance is high (such as with a function generator) the output may
saturate resulting in clipping and erroneous measurements. Keeping
those considerations in mind, the actual measurement is very simple.
Fig. 1:
Measurement of Ignition Coil Turns Ratio
Using these measurements, the turns ratio is calculated as the RMS
value of the high voltage coil divided by the RMS value of the low
voltage coil. Dividing 100 V by 983 mV results in a turns ratio of
101.7, very nearly 100:1. The model so far looks like
Fig. 2: Ignition
Coil Model, Turns Ratio
In addition to the ideal transformer action measured above, their is
also an inductance in parallel with the ideal transformer which is
called the magnetizing inductance. Typically, the magnetizing
inductance is shown on the primary side of the transformer; however, it
can be reflected to any winding by the square of the turns ratio. The
magnetizing inductance is the inductance that is measured at the
transformer terminals. The most straightforward method of measuring the
magnetizing inductance is by using an inductance meter, but a function
generator, resistor, and oscilloscope can also be used. I measured the
magnetizing inductance of my coil with an LCR meter and got 5.5 mH at
the primary winding and 57.2 H at the secondary. Note that these two
measurements are measuring the same element in the circuit - there
aren't two independent elements being measured. As evidence of this,
dividing the secondary measured inductance by the turns ratio squared,
i.e. 57.2 H divided by 1022, yields almost exactly 5.5 mH.
Fig. 3: Ignition
Coil Model, Magnetizing Inductance Included
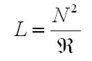
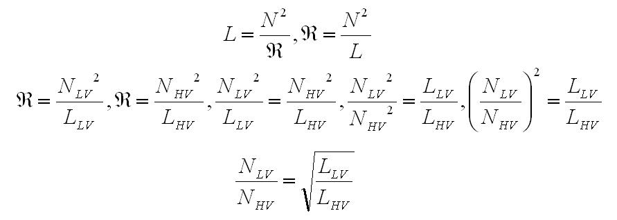
These measurements can be used to double check the turns ratio
measurement made earlier as well. The inductance of each coil is given
by
Eq. 1: Inductance
of a Coil
where N is the number of turns and is the
reluctance of the core. By solving for reluctance we obtain
Eq. 2: Re-arranged
equations
Using the values measured earlier, the turns ratio is computed to be
102:1 by Eq. 2 as well, which supports the initial calculation.
The next refinement of the model is to add the leakage inductances. The
leakage inductance represents the flux through one coil which is not
linked to the other coil, and is modeled as an inductance in series
with the magnetizing inductance. More specifically, the leakage flux is
the
portion of the measured magnetizing inductance which is not linked to
the
other coil, so the measured leakage inductance is subtracted from the
self-inductance to obtain a better estimation.
Consider an ideal transformer with a shorted secondary. In this
configuration, the impedance of the primary can be computed as the
impedance of the secondary multiplied by the turns ratio squared. With
a shorted secondary (i.e. the secondary's impedance is zero) the
impedance of the primary would also be zero.

Fig.
4: Transformer with Shorted Secondary
If the secondary is shorted on a practical transformer and the
impedance is measured at the primary the result will show some finite
value of inductance is present. This is due to the leakage inductance,
which is not linked to the secondary, and therefore does not represent
the secondary's scaled impedance.
Fig. 5:
Transformer with Leakage Inductance
Using this method, the leakage inductance for the low and high voltage
coils were measured to be 612 uH and 6.76 H, respectively. Adding these
leakage inductances to the model results in
Fig. 6: Ignition
Coil Model with Leakage Inductances Included
So far the model has only taken into consideration purely inductive
effects; however, at higher frequencies capacitive behavior becomes
dominant. This is usually attributed to the capacitance between
windings, but these capacitances do not entirely explain the behavior
observed. Simply, the lumped model that is used to describe the
inductance becomes inadequate as the wavelengths become shorter and
comparable in length to the coil itself. At some point, as the
frequency is increased, the inductive and capacitive reactances cancel
and the coil will resonate. This point is called the self resonant
frequency. The lumped model can be modified with the addition of a
capacitor to correct its behavior over a limited range of frequencies
above the self-resonant frequency without resorting to a transmission
line model. Determining the self-resonant frequency is aided by the
fact that the coil appears completely resistive at this frequency. At
this point the voltage and current through a coil will be in phase,
allowing the self-resonant frequency to be determined by sweeping the
frequency and noting the point at which the voltage and current are in
phase.
Fig. 7:
Determining Self-Resonant Frequency
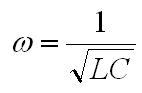
Here, the self-resonant frequency for my coil is determined to be 38.55
kHz. The relationship between resonance and frequency for a parallel LC
circuit is
Eq. 3: Resonant
Frequency of a Parallel LC Circuit
Solving this equation for the capacitance gives the result
Eq. 4: Determining
Resonant Capacitance
Using the self-inductance of the low voltage winding and the
self-resonant frequency, the resonant capacitance can be calculated to
be 3.49 nF. The model with this capacitance is shown below.

Fig.
8: Ignition Coil with Capacitance Included
In addition to the inductive and capacitive elements already discussed,
the copper windings also have some resistance. These values can be
easily measured with an Ohm meter. I determined the low voltage and
high voltage coil resistances to be 1.7 and 8.7 kOhms respectively.
It's tempting to use the values directly in the model; however, these
values are seldom accurate at high frequencies. This is somewhat
counter intuitive, since resistance is generally not considered to be
frequency dependant. In the case of resistance at high frequencies two
effects, called the skin and proximity effect, can greatly increase the
resistance to AC signals. The skin effect causes ac currents of
increasing frequency to penetrate less deeply into a conductor from the
surface. This reduces the cross section through which the current
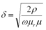
flows, and consequently increases the resistance. The skin depth, or
effective depth that currents penetrate is give by the equation

Eq.
5: Skin Depth
where
is the skin depth, is the
resistivity of the conductor ( for copper) and is the
permeability of free space (equal to for
most non-magnetic materials) and is the
relative permeability of the conductor (approximately 1 for most
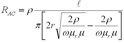
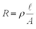
non-ferrous conductors.) The resistance of a length of a wire with
a given length and cross sectional area can be computed by
Eq. 6: Resistance
where is
the length of the conductor and
is the cross section of the conductor. If the diameter of the wire is
less than twice the skin depth, then the area can be computed
using .
Otherwise, the cross section of the conductive region will be smaller
and should be computed as shown in Fig. 9.
Fig. 9: Area of
Conduction for a Cylindrical Conductor
Therefore, the resistance of a length of wire where the diameter is
smaller than the skin depth is given by

Eq.
7: AC Resistance of a Wire with Skin Effect
The proximity effect occurs when a winding is more than one layer
thick, and is the result of the changing magnetic flux from the
previous layer cancelling out the current on the interior of the
current winding and increasing the current on the outside of the
winding. The effect is compounded with each additional layer in a coil,
and can greatly increase the effective AC resistance.
Proximity
Fig. 10: Proximity
Effect
The exact form for the proximity effect is beyond the scope of this
discussion, so the combined effect of the skin and proximity effect are
combined to shown their cumulative effect on AC resistance.
Fig. 11: Dowell
Plot
This graph, known as a Dowell plot, can be used to calculate the factor
by which the DC resistance should be multiplied in order to determine
the AC resistance. The X axis is the height of the conductor divided by
the skin depth at the frequency of interest, and is followed vertically
until it intersects the curve for the number of layers in the coil.
This point's position is then noted on the vertical axis, and the
resistance multiplier is read off. As an example, a coil made of a
conductor with a ratio of height to skin depth of three and two layers
of windings has an AC resistance about 12 times higher thant the DC
resistance of the wire. It should be noted that these curves are
derived for sinusoidal waveforms at a given frequency. Switching
waveforms contain frequencies at the fundamental and higher harmonics,
so depending on the waveform the actual resistance may be perhaps 1.2
to 2 times higher than indicated by the Dowell plot.
If you happen to know the construction specifics of your ignition coil
you can estimate the AC resistance using this method. More than likely
you won't have access to that information unless you disassemble and
destroy the coil, which is most likely unecessary. The AC resistance
for a given switching frequency can be determined by simple measurement
with enough fidelity for this model. Assuming a switching frequency of
100 Hz, the low voltage and high voltage winding resistances were
measured as 9.78 Ohms and 9.38 kΩ respectively (compared to 1.7 Ω
and 8.7 kΩ at DC.) The model, including the winding resistances at
100 Hz is shown in Fig. 12.

Fig.
12: Ignition Coil Model with Coil Resistances Included
[ Back to Ignition Coils ]
[ Back to Main ]
Questions?
Comments? Suggestions? E-Mail me at MyElectricEngine@gmail.com
Copyright 2007-2010 by Matthew Krolak - All Rights
Reserved.
Don't copy my stuff without asking first.
|
|